[コンプリート!] 5−3x 1≤8 266030-5 3x+1 8=134 3
Hard View solution > The value of x satisfying ∣ x 3 ∣ > ∣ 2 x − 1 ∣ is Hard View solutionSolutions of 2x − 7 = 15 and 2x − 7 ≤ 15 2 For the equation −3x 2 = 8 and the inequality −3x 2 > 8, which xvalues indicated below are solutions of the equation and which are solutions of the inequality?− − ≤ − = 7, if 3 6, if 1 x 4 7, if 1 ( ) 2 x x x x f x, find (6),( ) ( ) 3 (0), ( 4), 1 , (3),f − 5 Determine whether each of the following equations defines y as a function of x (Do not graph) 55 x −5y = 56 x 3= y2 57 3x2 y = 58 x3x4 −2xy =5 59 7x − y4 = 5 60 =3x2 y2 16 61 x3 −2y = 6 62 5x −3y = 63 yx3
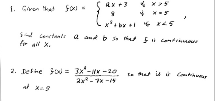
Solved Given That F X Ax 3 If X 5 8 If X 5 X 2 Chegg Com
5 3x+1 8=134 3
5 3x+1 8=134 3-Solve 1 ≤ x 2 1 3 x 2 − 7 x 8 ≤ 2 Medium Open in App Solution Verified by Toppr 1The same way you would solve normal inequalities, only there are more sides to the inequality now remember what you do to one side you do it ALL sides 1 −3 ≤ 2x −1 < 5 2 −3 1 ≤ 2x −1 1 < 5 1 3 − 2 2 ≤ 2x 2 < 6 2 4 −1 ≤ x < 3 Firelight 3



Wolfram Alpha Examples Step By Step Solutions
First, subtract 3 from each segment of the system of inequalities to isolate the x term while keeping the system balanced −3 − 12 < − 3 3 − 3x ≤ − 3 15 −15 < 0 −3x ≤ 12 −15 < − 3x ≤ 12 Now, divide each segment by −3 to solve for x while keeping the system balanced However, because we are multiplying or dividingAlternative optimal solutions (47) max z = −3x1 6x2 st 5x1 7x2 ≤ 35 −x1 2x2 ≤ 2 x1,x2 ≥ 0 In standard form max z 3x1 −6x2 = 0 st 5x1 7x2 s1 = 35 −x1 2x2 s2 = 2 x1,x2,s1,s2 ≥ 0 First tableau z x1 x2 s1 s2 RHS 1 3 −6 0 0 0 0 5 7 1 0 35If 4 x 3 y = 1 2 1 find how many positive integer solutions are possible?
Question 2 SURVEY seconds Q Semua bilangan real x yang memenuhi pertidaksamaan √x 2 4x − 5 > 4 adalah ⋯ answer choices −7< x < −5 atau 1< x ≤ 3 −7The solid region E is 0 ≤ x ≤ 1, 0 ≤ y ≤ √ 1−x 2, 0 ≤ z ≤ 1−x2 −y So in cylindrical coordinates E 0 ≤ θ ≤ π2, 0 ≤ r ≤ 1, 0 ≤ z ≤ 1−r2 ZZZ E (x3 xy2)dV = Z π 2 0 Z 1 0 Z −r2 0 r3 cos3 θ (rcosθ)(r2 sin2 θ)rdzdrdθ = Z π 2 0 Z 1 0 Z −r2 0 r4 cosθ(cos2 θ sin2 θ)dzdrdθ = Z π 2 0 Z 1 0 Z8 − 1 9 a = 3 8 − 1 3 = 24 and a = 3, b = 0 Now EX2 = Z ∞ −∞ x2f(x)dx = Z 1 0 3x4dx = 3x5 5 1 0 = 3 5 and Var(X) = EX 2−EX = 06− = 4 Suppose the cumulative distribution function of a random variable X is given by F(x) = (1−(x1)−2 if x > 0, 0 if x ≤ 0 Evaluate P(1 < X < 3) and EX SOLUTION P(1 < X
Q1 Solve the following (i) 4 − x ≤ 13 (ii) 2(x − 6) 3x ≤ 8 (iii) (iii) x 2 x 3 = 5 Q2 Factorise completely (i) 3x − 6y ax − 2ay (ii) p 2 − 1 (iii) x 2 − x − 12 (iv) 2x 2 − 5x − 7 Expand and simplify (i) (2k − 3)(k − 2)3(x−2), x ≥ 2 (c) (2−3x, 0 ≤ x < 2 5 3 −3x 1 3e 3(x−2), x ≥ 2 (d) (2−3x, 0 ≤ x < 2 2 3x 1 3e 3x, x ≥ 2 (e) None of the above 13 Set F(s) = 3s5 s2 9 (s10)e−2s s2 2s− 8 L−1F(s) = (a) (3cos 3x 5 3 sin 3x, 0 ≤ x < 2 3cos 3x 5 3 sin 3x− e−4x8 2e2x−4, xMATH 1B—SOLUTION SET FOR CHAPTERS 81, Problem 811 Use the arc length formula to find the length of the curve y = 2 − 3x,−2 ≤ x ≤ 1



2



2
37 −5 ≤ 3x 1< 7 38 2x 3 ≥ 37 −5 ≤ 3x 1< 7 38 2x 3 ≥ 9 or 3x − 5 ≤ −2 39 The Fitness Center charges $ per month plus $250 per visit for use of its gym Sunshine Gym charges $40 per month for unlimited use of its gym For how many visits per month is Sunshine Gym the less expensive choice? Solve 5−3x≤−1 orx≤5 Graph the solution and write the solution in interval notation HOW TO SOLVE A COMPOUND INEQUALITY WITH "OR" Solve each inequality Graph each solution Then graph the numbers that make either inequality true Write the solution in interval notation Step 1 Step 2 Step 3 Chapter 2 Solving LinearSolve the following inequation and represent the solution set on the number line 4x−19



2



Systems Of Equations With Graphing Article Khan Academy
This problem has been solved!E7 Z x2 (x− 3)(x 2)2 dx =?This instructional aid was prepared by the Learning Commons at Tallahassee Community College 1 Subtract 8 on each side Divide 3 on each side Do not reverse the inequality symbol Place the solution set in the setbuilder notation Add 2 on each side Simplify Subtract 5x on each side Simplify Divide 2 on each side;



Example 2 Solve 5x 3 3x 1 When X Is Integer Real Number



Solve The Equations Below Using Matrix Method X Y 8 2y 3x 1
≤1 C x 1 D x >−3, xPiecewise functions are functions that have multiple pieces, or sections They are defined piece by piece, with various functions defining each interval Piecewise functions can be split into as many pieces as necessary Each piece behaves differently based on the input function for that interval Pieces may be single points, lines, or curves The piecewise function below has three pieces TheBasis x1 x2 x3 x4 RHS Values z − 5 −4 0 0 0 x1 6 4 1 0 24 x4 1 2 0 1 6 This table cannot be used as the initial simplex table!



Solve Solve Inequalities With Step By Step Math Problem Solver



Collatz Conjecture Wikipedia
If the replacement set is the set of real number, solve (i) 4x ≥ − 16 (ii) 8 – 3x ≤ asked in Mathematics by AsutoshSahni ( 528k points) linear inequationE5 Z x3− 4x2 5x 23 x2 − 6x13 dx =?A −3 B −2 C −1 D 0 3 Describe the graph of x > −2 4 Describe the graph of x ≤ −2 5 Graph x



Indicate Any Restrictions In Domain Or Range 1 Solutio Manualzz



How To Sketch An Equation By Plotting Points Y 3x 1 Example Intermediate Algebra Lesson 59 Youtube
X ≤ 1 and x > 6 1 ≤ x < 6 x > 1 and x > 6 1 < x < 6 2 See answers Advertisement Advertisement sisteramelia sisteramelia 16 Advertisement Advertisement lidaralbanyCompact manifolds with boundary we also get the same O(2−j/8) improvement in our L8estimates when microlocalized to regions of phase space that correspond to bicharacteristics that are of angle comparable to 2−j from tangency to the boundary In higher dimensions the natural analog of (14)(15) would say that (18) χ λf 2 Lq(M) ≤The final graph will show all the numbers that make both inequalities true—the numbers shaded on both of the first two graphs Step 3 Write the solution in interval notation −3, 2) −3, 2) All the numbers that make both inequalities true are the solution to the compound inequality



Solve 5x 1 3x 7 Youtube



Which Of The Following Are Polynomials I X 2 3x 1 Ii X 2 5x 2 Iii X 1 Y Iv X 7 8 V X 3 Sqrt X 2 Vi Sqrt 2 X 2 X 1 Vii 3x 1 X 5
Solution Substitute the values in for x, simplify, and check to see if we obtain a true statement Check x = − 4 Check x = 6 5 ( − 4) 7 < 22 − 7 < 22 − 13 < 22 5 ( 6) 7 < 22 30 7 < 22 37 < 22 Answer x = − 4 is a solution and x = 6 is not All but one of the techniques learned for solving linear equations apply toFor 3 ≤ n4 ≤ 8 or 7 ≤ n ≤ 12 yn = n 6 Partial frontend overlap for 8 ≤ n4 & n15 ≤ 3 or 12 ≤ n ≤ 18 yn = 6 Full overlap for 3 ≤ n15 ≤ 8 or 18 ≤ n ≤ 23 yn = 24 n Partial backend overlap otherwise yn = 0 or no overlap 3U Compute and plot yn = xn * hn, where otherwise h n for nE8 What is the form of the partial fraction decomposition of a 2x15 −5x7 3x2 − 4 (x8 −1)2?



Math 0308 Final Exam Review Answers



If 5x 4 3x 8 Gt 39 8 And 2x 1 12 X 1 3 Lt 3x 1 4 Then X Belongs To The Internal
What is the solution to the compound inequality 3x − 8 ≥ −5 and 2x − 7 < 5?X 3 x − 5 ≤ 0 x ≠ 5 x 3 x − 5 ≤ 0 x ≠ 5 Find the critical points x 3 = 0 x − 5 = 0 x = −3 x = 5 x 3 = 0 x − 5 = 0 x = −3 x = 5 Use the critical points to divide the number line into intervals Test values in each interval Above the number line, show the sign of each factor in each interval Below the number line− 9 ≤ − 3 x 1 5 ≤ 1 2 when 1 ≤ x ≤ 8 Explanation Let us start with a graph of the inequality If we define f (x) =



Answered 3 The Functions F X 3x2 1 And Bartleby



Solve For X 3x 8 3 3 3 3x 8 3 3 3 3x 8 0 Youtube
Resuelva las siguientes inecuaciones por favor ayuda A) −3X 5 ≥ 2X B) −8X 2 ≥ 3 – 3X C) 7X – 3 < 8 8X D) 3X – 6(2X) ≥ 12X – 3 E) 5(6X – 3) ≤ −8 32XSolve the inequality and write the answer in interval notation − 5 _ 6 x ≤ 3 _ 4 8 _ 3 x Under standing Compound Ineq uali ties A compound inequality includes two inequalities in one statement A statement such as 4 < x ≤ 6 means 4 < x and x ≤ 6 Ther e are two ways to solve compound inequalities separating them into two separateX ≥ 0, y ≥ 0 ( x, y )= x ≥ 0, y ≥ 0 You are in charge of purchases at the studentrun usedbook supply program at your college, and you must decide how many introductory calculus, history, and marketing texts should be purchased from students for resale Due to budget limitations, you cannot purchase



Introduction To Inequalities And Interval Notation



Solved Solve For X 3x 8 23 Or 4x 26 6 Choose 1 Chegg Com
Solve the following in equation and represent the solution set on the number line 4x – 19 < 3x/5 − 2 ≤ −2/5 x, x ∈ asked in Mathematics by AsutoshSahni ( 528k points) linear inequationB 2x11− 5x7 3x2 −4 (x8− 1)(x4− 1)?Solve 5−3x ≤ 6 Solution Let u = 5 − 3x Then u ≤ 6 This means that the distance from u to 0 is less than or equal to 6 On a number line, this happens when −6 ≤ u ≤ 6 Thus, −6 ≤ 5−3x ≤ 6 Next, we have to isolate the x Subtract 5 from each part of the inequality to obtain −11 ≤ −3x ≤ 1 Now, divide through



Chapter 2 Problems



Systems Of Equations With Substitution 9x 3y 15 Y X 5 Video Khan Academy
Math 115 HW #5 Solutions From §129 4 Find the power series representation for the function f(x) = 3 1−x4 and determine the interval of convergenceA solution to a linear inequality A real number that produces a true statement when its value is substituted for the variable is a real number that will produce a true statement when substituted for the variable Linear inequalities have either infinitely many solutions or no solution If there are infinitely many solutions, graph the solution set on a number line and/or express the solution Transcript Misc 5 Solve the inequality −12 < 4 −3𝑥/(−5) ≤ 2 −12 < 4 −3𝑥/(−5) ≤ 2 Subtracting 4 all sides (Eliminating 4) – 12 – 4 < 4 −



Ex 5 1 29 Find K F X Kx 1 3x 5 Is Continuous At X 5



Solved Math107 College Algebra Quiz 3 June 11 For Each Piecewise Function Find The Specified Function Values F X 3 2 1 2 6 2 2 H X Course Hero
Solve the inequality 29 < 3( x − 9) ≤ 1 Write your answer using interval notation We will apply a direct approach 29 < 3x − 27 ≤ 1 Simplify by applying the distributive property 29 27 < 3x − 27 27 ≤ 1 27 Add 27 to all three parts 2 < 3x ≤ 228 < ≤ Divide all three parts by 3ICSE Class 8 Maths Selina Solutions Chapter 6 Sets Exercise 6(B) Question 1 Find the cardinal number of the following sets (i) A 1 = {−2, −1, 1, 3, 5}Q 5 The total number of non negative integral solution of the inequality ∑4 i=1xi ≤100 Mathematics Q 1 The number of negative integral solution (s) of the inequality −x< 3x−5 4 and −5≤x−4



Efficient And Specific Oligo Based Depletion Of Rrna Scientific Reports



Inequalities Thursday 29 November Ppt Download
Subject to x1 x2 ≥ 8 2x1 − 3x2 ≤ 0 x2 ≥ 9 x1,x2 ≥ 0 Operations Research Methods 5 Lecture 4 Its standard form minimize z = 3x1 8x2 4x7 − 4x8 subject to x1 x2 − x4 = 8 2x1 − 3x2 x5 = 0 x2 − x6 = 9 x1,x2,x4,x5,x6,x7,x8 ≥ 0 x3 is substituted out of the problem We have m = 3 and n = 7 Operations Research Methods 6E6 Z 3x2 − 14x 36 x2 − 6x13 dx =?185 (d) Find all real values x such that 2x1 x−5 ≤ 3 We consider the cases x ≥ 5 and x < 5 separately If x ≥ 5, the inequality becomes 2x 1 ≤ 3(x − 5), which is equivalent to x ≥ 16 If x < 5, then we get 2x 1 ≥ 3(x − 5), leading to x ≤ 16 From the first case we get all x ∈ 16,∞), from the second case we get all



Solved X 2 Solve The Linear Inequalities 6 2x 1 3x Chegg Com



Answers 2 Inequalities Quiz Study Guide
Systems of equations 2 Solve the system 5 x − 3 y = 6 4 x − 5 y = 12 \begin {array} {l} {5x3y = 6} \\ {4x5y = 12} \end {array} 5x−3y = 6 4x−5y = 12 See answer › Exponential and logarithmic functions Solve for x 3 e 3 x ⋅ e − 2 x 5 = 2We have to transform the table (GaussJordan elimination using x1column elements) Basis x1 x2 x3 x4 RHS Values z 0 −2 3 5 6 0 x1 1 2 3 1 6 0 4 x4 0 4 3 −1 6 1 2 This table is an initial simplex table, ie4x−3 x2 − 6x13 dx =?



Activity 2 Solve Each Problem Below And Choose The Gauthmath



Ex 6 1 16 Solve 2x 1 3 3x 2 4 2 X 5
− new statistical model for correlationof measurements (incorporates socalled 'longrange' dependence) − multiple regression analysis to deduce space/time variations − newly archived data for submarine cruises from 1975 to 01 (almost doubling the amount of available data) 2Answer requested by Sichinga Gilbert 9 Adel Alkhayat , BSc Mathematics, University of Basrah (1971) Answered 1 year ago Author has 11K answers and 2984K answer views If the inequality is meant to be 2 ≤ (5 3x)/4 ≤ 1/2 Multiply by 4 8 ≤ 5 3x ≤ 2 Subtract 5 13 ≤ 3x ≤ 3 Divide by 3 1 ≤ x ≤ 13/3 If the inequality is meant to be 2 ≤ 5 (3x/4) ≤ 1/2 Multiply by 4Q 4 If 3(x5)−(x2)=2x−3x4, then find the value of x Maths Q 5 If (a,2) is a point between the lines 3x4y=2 and 3x4y=5, then Mathematics Q 1 If ( x 2 3 x 5) ( x 2 − 3 x 5) = m 2 − n 2, then m = ________ Mathematics



Solve The Inequality For Real X 37 3x 5 9x 8 X 3



Chapter 8 Systems Of Equations And Inequalities
C 5x9 −2x4 x3 − 3x−1 (x−1)(x−4)(x2− 3x−4 Transcript Ex 61, 14 Solve the given inequality for real x 37 – (3x 5) ≥ 9x – 8(x – 3) 37 – (3x 5) ≥ 9x – 8(x – 3) 37 – 3x – 5 ≥ 9x – 8x 24 32 – 3x ≥ x 24 –3x – x ≥ 24 – 32 –4x ≥ – 8 –x ≥ −8 4 –x ≥ −2 Since x is negative, we multiply both sides by 1 & change the signs (– 1) × (–x) ≤ (– 1) × (–2) x ≤ 2− 3 x 1 < − 5 OR 2 x 2 < − 10 To solve the left part, first subtract 1 from both sides − 3 x < − 6 Then divide both sides by − 3 Remember to reverse the inequality x > 2 For the second part, subtract 2 from both sides



2



Solved Math107 College Algebra Quiz 3 June 11 For Each Piecewise Function Find The Specified Function Values F X 3 2 1 2 6 2 2 H X Course Hero
Answer (1 of 2) This problem can be interpreted in multiple ways due to the lack of parentheses, but I am going to assume you are asking for (2x3)/(3x2)3 x 6 = 8 −z 5x 1 4x 2 3x 3 = 0 0 ≤x 1,x 2,x 3,x 4,x 5,x 6 Lecture 8 Math 407A Linear Optimization Math Dept, University of Washington Outline The Simplex Algorithm of George Danzig The Simplex Algorithm in Matrix Form Dictionaries Dictionaries, Augmented Matrices, and the Simplex Tableau The LP is now encoded as the system 2x 1



Solve And Graph The Solution Set Of I 2x 9 7 And 3x 9 25 X R Sarthaks Econnect Largest Online Education Community



Write The Equation Of A Line Parallel Or Perpendicular To A Given Line College Algebra



If 3 2x 8 225 5 3 5 X Then What Is X Quora



What Is The Justification For Each Step In Solving The Inequality 3x 1 2 Lt X 4 Select From The Brainly Com



Linear Algebra Achievement Standard Ppt Download



Choose The Graph Which Represents The Solution To The Inequality 3x 8 11 Brainly Com



2



Solving Compound Inequalities Ppt Download



1



Solved Solve The Inequality 1 2x 11 5x 1 Solve The Chegg Com



Graph Graph Inequalities With Step By Step Math Problem Solver



Compound Inequalities Linear Inequalities Class 11 Maths Geeksforgeeks



Systems Of Linear Equations



Example 2 Solve 5x 3 3x 1 When X Is Integer Real Number



Graph Graph Inequalities With Step By Step Math Problem Solver



This Graph Shows The Solutions To The Inequities Y Gt 1 3x 5 And Y Lt 1 3x 1 Brainly Com



College Algebra And Trigonometry International 5th Edition Lial Solutions Manual By Mannix Jacobs Issuu



Example 18 Solve 3x 7 5 X 11 5x 1 On Number Line



Systems Of Equations Number Of Solutions Y 3x 1 2y 4 6x Video Khan Academy



Semester 1 Review Packet Answers



Solved Solve The Inequality In Terms Of Intervals And Chegg Com



Chapter 2 Section 8 2 8 Solving Linear



How Would You Graph F X If F X X 2 1 X 2 4 2 X 1 3x 1 1 X 3 X 2 1 X 1 How Would You Evaluate The Function At The Indicated Points F 3 F 2 F 5 F 3 Socratic



Solved Given That F X Ax 3 If X 5 8 If X 5 X 2 Chegg Com



Solve The Following Inequation And Write The Solution Set 13x 5 15x 4 7x 12 X R Represent The Solution On A Real Number Line



Chapter 1



For The Following In Equations Graph The Solution Set On The Real Number Line I 4 3x 1 8 Ii X 1 3 X 5 Sarthaks Econnect Largest Online Education Community



Solve Solve Linear And Quadratic Equations With Step By Step Math Problem Solver



Quadratics



2



Given The Inequalities X 5 3x 8 2x 3 A Solve The Inequalities B Represent The Solution On A Number Line Video Linear Inequalities Kenyaplex 221



5 3x 1 125 Solve The Exponential Equation Youtube



Graph Piecewise Defined Functions College Algebra



Wolfram Alpha Examples Step By Step Solutions



2



Msu Mathematics Placement Test Elementary Algebra Topics And



Represent The Following In Equalities On Real Number Lines I 2x 1 5 Ii 3x 1 5 Sarthaks Econnect Largest Online Education Community



If 5x 4 3x 8 Gt 39 8 And 2x 1 12 X 1 3 Lt 3x 1 4 Then X Belongs To The Internal



How Do You Solve 3x 2 5x 8 Socratic



1



How Do You Graph The Inequality Y 2x 2 3x 5 Socratic



Solve The Given Inequality For Real X 2x 1 3 3x 2 4 2 X 5 Sarthaks Econnect Largest Online Education Community



Solve Solve Inequalities With Step By Step Math Problem Solver



2



2



Adding Fractions



Ex 6 1 14 Solve 37 3x 5 9x 8 X 3 Ex 6 1



How Do You Graph The Inequality Y 2x 2 3x 5 Socratic



Misc 8 Sovle 2 X 1 X 5 3 X 2 2 X Chapter 6



Solving Compound Inequalities Warm Up Lesson Warm Up



3x 5 7 X Solve Simple Linear Equations With 8 Examples To Understand Basic Concepts Youtube



2



Example 18 Solve 3x 7 5 X 11 5x 1 On Number Line



Help Needed With Calculus Question Wyzant Ask An Expert



Powerful Number Wikipedia



Solved Let F Be The Function Below Click On Graph To Chegg Com



Answered 7 X 4 3x 16 8 5x 6 2x 1 Bartleby



Answered Solve By Elimination 7 3x Y 7 3x Bartleby



Chapter 1



2



If 5x 4 3x 8 Gt 39 8 And 2x 1 12 X 1 3 Lt 3x 1 4 Then X Belongs To The Internal



1



Solved 5 8 Veng Rolle S Theorem On The Gi That Satisfy The Chegg Com



Solve Solve Inequalities With Step By Step Math Problem Solver



Solution Graph Y 2 3x 1



2



Solve The Following In Equation And Represent The Solution Set On The Number Line3x 5 2 Lt X 4 Brainly In



Solving Compound Inequalities Ppt Download



Answers 2 Inequalities Quiz Study Guide



Rd Sharma Solutions For Class 10 Chapter 8 Quadratic Equations Exercise 8 6 Avail Pdf



F X 3x 8 If X 5 At X 5 2k If X 5 Studyrankersonline



2
コメント
コメントを投稿